Предмет: Алгебра,
автор: swetlathok
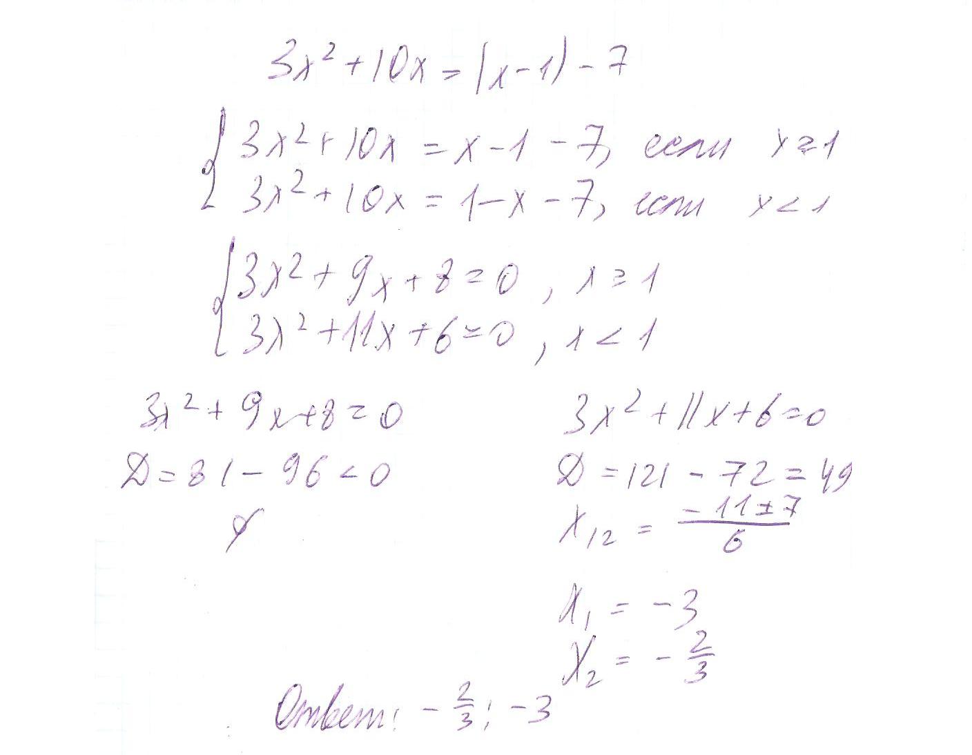
Решить уравнение:
3+10x=|x-1|-7
Ответы
Автор ответа:
0
надеюсь будет понятно......
Приложения:
Похожие вопросы
Предмет: Алгебра,
автор: maximkuznetsov0000
Предмет: Математика,
автор: shichkinvadim
Предмет: Геометрия,
автор: danelbajturina12
Предмет: История,
автор: алсуалсу
Предмет: Литература,
автор: 695яз23ук