Предмет: Алгебра,
автор: SampleText
Решите уравнение, пожалуйста!
Приложения:
Ответы
Автор ответа:
0
Это не уравнение, а пример.
Написано
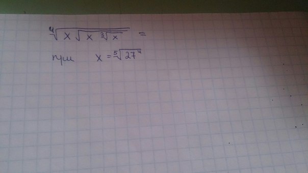
(х*(х*х^(1/3))^(1/2))^(1/4)=(x*(x^(4/3))^(1/2))^(1/4)=(x*x^(2/3))^(1/4)=
(x^5/4)^(1/4)=x^(5/16)
x=3^(12/5)
3^((12/5)*(5/16))=3^(3/4)=27^(1/4)
Ответ: корень четвертой степени из 27.
Написано
(х*(х*х^(1/3))^(1/2))^(1/4)=(x*(x^(4/3))^(1/2))^(1/4)=(x*x^(2/3))^(1/4)=
(x^5/4)^(1/4)=x^(5/16)
x=3^(12/5)
3^((12/5)*(5/16))=3^(3/4)=27^(1/4)
Ответ: корень четвертой степени из 27.
Похожие вопросы
Предмет: Математика,
автор: Аноним
Предмет: Математика,
автор: kahag31
Предмет: Русский язык,
автор: Nastya9030
Предмет: Биология,
автор: серыйкрутяк
Предмет: История,
автор: magamin71