Предмет: Алгебра,
автор: etishinina
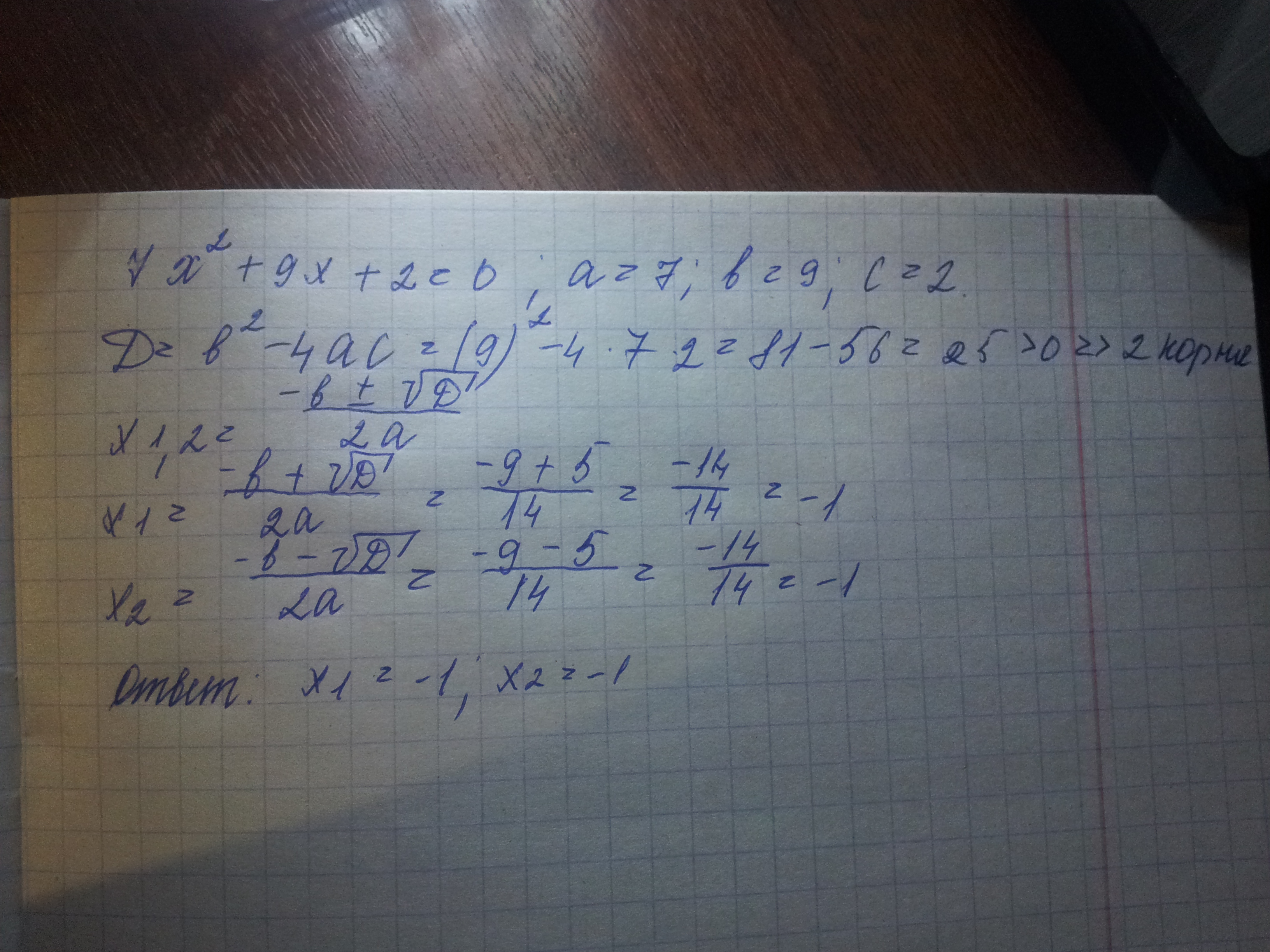
решите уравнение 7х-квадрат +9х+2=0
Ответы
Автор ответа:
0
Вот решение через дискриминант.
Надеюсь помогла)
Надеюсь помогла)
Приложения:
Похожие вопросы
Предмет: Қазақ тiлi,
автор: Аноним
Предмет: Математика,
автор: jktae38
Предмет: Математика,
автор: kolilova9
Предмет: Математика,
автор: рроорро
Предмет: Математика,
автор: tereshonkov2001