Предмет: Алгебра,
автор: Кариночка78
Помогите, пожалуйста, с алгеброй. Очень срочно.
Приложения:
Ответы
Автор ответа:
0
Смотри решение на листке.
Приложения:
Автор ответа:
0
ответ должен быть 3
Автор ответа:
0
у вас неправильно
Автор ответа:
0
я нашла ошибку, спасибо)
Автор ответа:
0
Ладно, будем считать мой ответ не верный. Прошу удалить
Автор ответа:
0
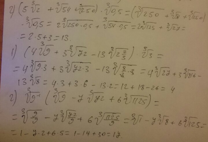
№1
1)
![(5 sqrt[3]{4} +0.5 sqrt[3]{108} - sqrt[3]{500} )* sqrt[3]{2} =5 sqrt[3]{4*2} +0.5 sqrt[3]{108*2} - sqrt[3]{500*2}= (5 sqrt[3]{4} +0.5 sqrt[3]{108} - sqrt[3]{500} )* sqrt[3]{2} =5 sqrt[3]{4*2} +0.5 sqrt[3]{108*2} - sqrt[3]{500*2}=](https://tex.z-dn.net/?f=%285+sqrt%5B3%5D%7B4%7D+%2B0.5+sqrt%5B3%5D%7B108%7D+-+sqrt%5B3%5D%7B500%7D+%29%2A+sqrt%5B3%5D%7B2%7D+%3D5+sqrt%5B3%5D%7B4%2A2%7D+%2B0.5+sqrt%5B3%5D%7B108%2A2%7D+-+sqrt%5B3%5D%7B500%2A2%7D%3D)
![=5 sqrt[3]{8} +0.5 sqrt[3]{216} - sqrt[3]{1000}=5*2+0.5*6-10=10+3-10=3 =5 sqrt[3]{8} +0.5 sqrt[3]{216} - sqrt[3]{1000}=5*2+0.5*6-10=10+3-10=3](https://tex.z-dn.net/?f=%3D5+sqrt%5B3%5D%7B8%7D+%2B0.5+sqrt%5B3%5D%7B216%7D+-+sqrt%5B3%5D%7B1000%7D%3D5%2A2%2B0.5%2A6-10%3D10%2B3-10%3D3)
2)
![(5 sqrt[3]{2} + sqrt[3]{54} - sqrt[3]{250})* sqrt[3]{0.5} =5 sqrt[3]{2*0.5} + sqrt[3]{54*0.5} - sqrt[3]{250*0.5}= (5 sqrt[3]{2} + sqrt[3]{54} - sqrt[3]{250})* sqrt[3]{0.5} =5 sqrt[3]{2*0.5} + sqrt[3]{54*0.5} - sqrt[3]{250*0.5}=](https://tex.z-dn.net/?f=%285+sqrt%5B3%5D%7B2%7D+%2B+sqrt%5B3%5D%7B54%7D+-+sqrt%5B3%5D%7B250%7D%29%2A+sqrt%5B3%5D%7B0.5%7D+%3D5+sqrt%5B3%5D%7B2%2A0.5%7D+%2B+sqrt%5B3%5D%7B54%2A0.5%7D+-+sqrt%5B3%5D%7B250%2A0.5%7D%3D)
![=5 sqrt[3]{1} + sqrt[3]{27} - sqrt[3]{125}=5*1+3-5=3 =5 sqrt[3]{1} + sqrt[3]{27} - sqrt[3]{125}=5*1+3-5=3](https://tex.z-dn.net/?f=%3D5+sqrt%5B3%5D%7B1%7D+%2B+sqrt%5B3%5D%7B27%7D+-+sqrt%5B3%5D%7B125%7D%3D5%2A1%2B3-5%3D3)
№2
1)
![(4 sqrt[3]{9} + 3sqrt[3]{72} - 13sqrt[3]{2 frac{2}{3} } )* sqrt[3]{3} =4 sqrt[3]{9*3} + 3sqrt[3]{72*3} - 13sqrt[3]{ frac{8}{3}*3 }= (4 sqrt[3]{9} + 3sqrt[3]{72} - 13sqrt[3]{2 frac{2}{3} } )* sqrt[3]{3} =4 sqrt[3]{9*3} + 3sqrt[3]{72*3} - 13sqrt[3]{ frac{8}{3}*3 }=](https://tex.z-dn.net/?f=%284+sqrt%5B3%5D%7B9%7D+%2B+3sqrt%5B3%5D%7B72%7D+-+13sqrt%5B3%5D%7B2+frac%7B2%7D%7B3%7D+%7D+%29%2A+sqrt%5B3%5D%7B3%7D+%3D4+sqrt%5B3%5D%7B9%2A3%7D+%2B+3sqrt%5B3%5D%7B72%2A3%7D+-+13sqrt%5B3%5D%7B+frac%7B8%7D%7B3%7D%2A3+%7D%3D+)
![=4 sqrt[3]{27} + 3sqrt[3]{216} - 13sqrt[3]{ 8 }= 4*3+3*6-13*2=12+18-26=4 =4 sqrt[3]{27} + 3sqrt[3]{216} - 13sqrt[3]{ 8 }= 4*3+3*6-13*2=12+18-26=4](https://tex.z-dn.net/?f=%3D4+sqrt%5B3%5D%7B27%7D+%2B+3sqrt%5B3%5D%7B216%7D+-+13sqrt%5B3%5D%7B+8+%7D%3D+4%2A3%2B3%2A6-13%2A2%3D12%2B18-26%3D4)
2)
![sqrt[3]{ 9^{-1} } (sqrt[3]{9} - 7sqrt[3]{72}+6 sqrt[3]{1125}) =sqrt[3]{9* 9^{-1} } - 7sqrt[3]{72* 9^{-1} }+6 sqrt[3]{1125* 9^{-1} }= sqrt[3]{ 9^{-1} } (sqrt[3]{9} - 7sqrt[3]{72}+6 sqrt[3]{1125}) =sqrt[3]{9* 9^{-1} } - 7sqrt[3]{72* 9^{-1} }+6 sqrt[3]{1125* 9^{-1} }=](https://tex.z-dn.net/?f=+sqrt%5B3%5D%7B+9%5E%7B-1%7D+%7D+%28sqrt%5B3%5D%7B9%7D+-+7sqrt%5B3%5D%7B72%7D%2B6+sqrt%5B3%5D%7B1125%7D%29+%3Dsqrt%5B3%5D%7B9%2A+9%5E%7B-1%7D+%7D+-+7sqrt%5B3%5D%7B72%2A+9%5E%7B-1%7D+%7D%2B6+sqrt%5B3%5D%7B1125%2A+9%5E%7B-1%7D+%7D%3D)
![=sqrt[3]{1 } - 7sqrt[3]{8}+6 sqrt[3]{125 }=1-7*2+6*5=1-14+30=17 =sqrt[3]{1 } - 7sqrt[3]{8}+6 sqrt[3]{125 }=1-7*2+6*5=1-14+30=17](https://tex.z-dn.net/?f=%3Dsqrt%5B3%5D%7B1+%7D+-+7sqrt%5B3%5D%7B8%7D%2B6+sqrt%5B3%5D%7B125+%7D%3D1-7%2A2%2B6%2A5%3D1-14%2B30%3D17)
1)
2)
№2
1)
2)
Приложения:
Похожие вопросы
Предмет: Русский язык,
автор: darkknifehvh
Предмет: Русский язык,
автор: amangeldievasabina5
Предмет: Математика,
автор: rotormilord018
Предмет: Математика,
автор: naenbik56000
Предмет: Физика,
автор: balmasovam99