Предмет: Математика, автор: DiegoCarbone

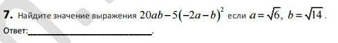
[20 баллов] Найдите значение выражения
*Должно быть полное решение
(Cм.прикреп.картинки)

Приложения:

Ответы

Автор ответа: МихаилН
0
Решение прикрепил :-) 
Удачи 
Приложения:
Похожие вопросы
Предмет: Математика, автор: melnikovasofia01
ДАЮ 25 БАЛЛОВ!!!!!!
УМОЛЯЮ ПОМОГИТЕ!!!!!!!!

Задание 2

Раскрой скобки и упрости выражение:
12+(29−y).

Ответ (записывать без промежутков, переменную вводи в латинской раскладке):

выражение без скобок (порядок записи слагаемых не менять)
.

выражение после упрощения (первым записывать число)

Задание 3

Приведи подобные слагаемые:
−1 /12y + 2/3y.

Ответ (если в ответе получится знак «минус», пиши его в числителе; дробь не сокращай; используй латинскую раскладку):

Задание 5

Приведи подобные слагаемые:

−2,24x+7,5x−19,7x.

Ответ (записывай ответ без промежутков; в первом окошке укажи коэффициент, во втором окошке запиши переменную, используй латинскую раскладку):

−2,24x+7,5x−19,7x =

Задание 6

Напиши разность двух выражений и упрости её:
−4,8−k и 26,4+k.

Ответ (пиши с латинской раскладки без промежутков, не меняя местами слагаемые):

разность этих выражений запишем так:

(−
)
(
);

ответ после упрощения (первым записывай число; если число отрицательное, записывай его вместе со знаком «−» в одно окошко; знак действия между выражениями записывай в отдельное окошко, переменную также записывай в отдельное окошко)