Предмет: Геометрия,
автор: AlexandrAst
99 БАЛЛОВ!!!
SOS!!!
Помогите пожалуйста решить три задания, геометрия - 11 класс.
Во втором задании с РИСУНКОМ ПЛЗ.
ЗАРАНЕЕ СПАСИБО.
Приложения:
Ответы
Автор ответа:
0
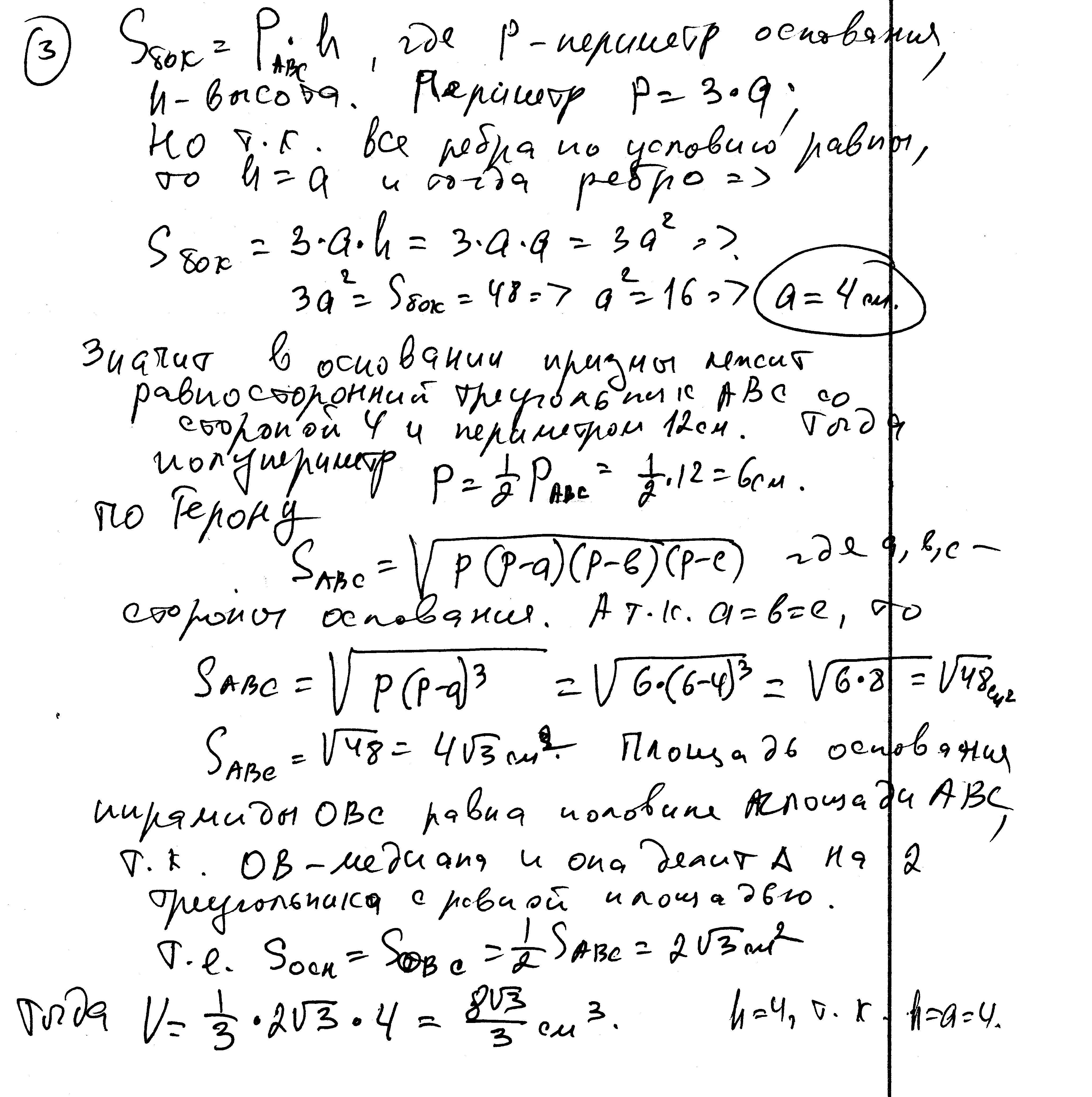
Решение в скане...................
Приложения:
Автор ответа:
0
Спасибо вам большое :)
Автор ответа:
0
Удачи Вам. Надеюсь все понятно.
Похожие вопросы
Предмет: Английский язык,
автор: ahmetturksoy36
Предмет: Математика,
автор: Аноним
Предмет: Алгебра,
автор: imsoverycrazy
Предмет: Математика,
автор: marinaguba2010
Предмет: Алгебра,
автор: nachafekosha