Предмет: Математика,
автор: Alinaskakova2004
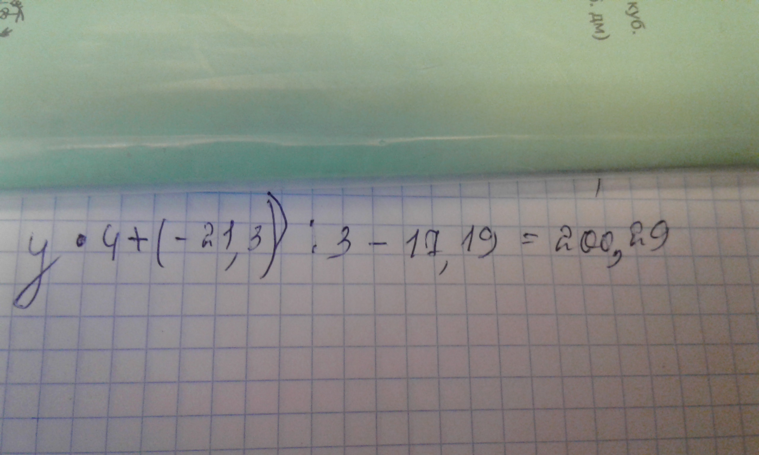
помогите решить уравнение..
Приложения:
Ответы
Автор ответа:
0
Ну тут все просто, делаешь так, оставляешь известные справа, неизвестные слева, Слева у тебя остается только y, а остальное перекидываешь вправо с противоположным знаком, и считаешь)
Автор ответа:
0
А можешь сразу ответ написать.
Похожие вопросы
Предмет: Физика,
автор: ranzol228
Предмет: Литература,
автор: poison22896
Предмет: Русский язык,
автор: dinka82DD
Предмет: Математика,
автор: dasa2004nesvet
Предмет: Математика,
автор: malinin3116