Предмет: Алгебра,
автор: Аноним
даю лучший ответ только решите))
1. найти наибольший корень уравнения
Приложения:
Ответы
Автор ответа:
0
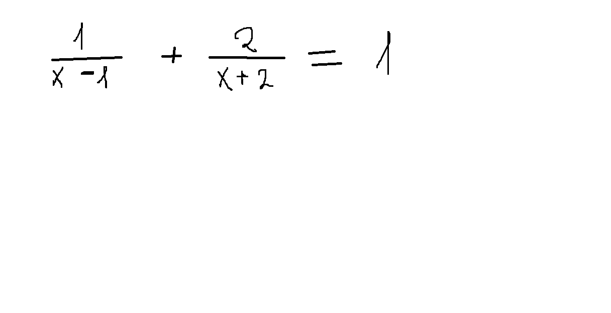
(1/(x-1))+(2/(x+2))=1
(x+2+2(x-1))/(x-1)(x+2)=1
(x+2+2x-2)/(x²-x-2+2x)=1
3x/x²+x-2=1
по пропорции
3x=x²+x-2
x²+x-2-3x=0
x²-2x-2=0
d=4+8=12
x1=(2+√12)/2=(2+2√3)/2=2(1+√3)/2=1+√3 (больший корень)
x2=(2-√12)/2=(2-2√3)/2=2(1-√3)/2=1-√3
Похожие вопросы
Предмет: Математика,
автор: vagenleytnervlad
Предмет: Математика,
автор: Аноним
Предмет: Физкультура и спорт,
автор: congav
Предмет: Физика,
автор: Sovetik
Предмет: Физика,
автор: Аноним