Предмет: Алгебра, автор: nuzhnadomashka

даю 20 баллов)))))))))))))))))))))))))

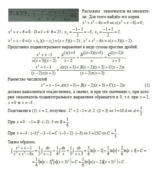
Приложения:

Ответы

Автор ответа: SergFlint
0
Решение в приложении.
Приложения:
Похожие вопросы
Предмет: Русский язык, автор: kotikfill
СРОЧНО ДАМ 80 БАЛЛОВ


1. Вставьте пропущенные буквы, раскройте скобки. Расставьте знаки препинания там, где это необходимо.

1) Возле кромки не только (без)устали летали чайки но и носились кулички бегая то взад то вперёд от накрывающих волн.

2) (Во)время затиш_я здесь обычно спокойно но (на)кануне был шторм.

3) Видимо, была сильная буря потому что по всему берегу ра_бросан_ы красные медузы и вод_росли пр_битые волной к кромке.

4) Далеко (в)дали полно навален_ых грудами деревьев а за ними видны горы.

5) (В)переди темне_т вросшая в песок лодка которая накл_нилась (на)бок от ударов волн затопивших всё (в)нутри.

6) Где(то) у гор зонта видны высокие ч_рные горы но силу_ты их размыты поэтому они кажутся прод_лжением моря.

7) (На)верху чернеют сосен(?)ки а (в)низу — камен_ые обломки.

8) (Без)умолку плещ_т волны отчего их шум нав_вает приятные воспоминания.

9) Смотришь (в)даль моря как будто видишь бе_конечную полоску г_ризонта и всю свою жизнь.

10) После обеда постепен(н)о померкла яс(?)ность синего неба и издалек_ пот_нул западный ветер да пухлая белая туча (не)заметно надвигаясь зав_локла со всех сторон г_ризонт.

11) Благ_датный снег начал прямо медлен(н)о большими клоч(?)ями как опускаться на землю так и покрывать ветки крыши кочки.

12) Чтобы сполна насл_диться этой к_ртиной я вышел в поле и (не)вероятно чудное зрел_ще пр_дставилось глазам моим.

13) Всё бе_граничное пр_странство вокруг меня предст_вляло вид снежного потока будто небеса ра_верзлись рас(с)ыпались снежным пухом и н_полнили весь воздух дв_жением и пор_зительной тишиной.

14) Наступали длин(н)ые зимние сумерки и падающий снег нач_нал закрывать все предметы и белым мраком одевал землю.
Предмет: Українська мова, автор: nikitabaryshev2020da