Предмет: Математика,
автор: sultan061
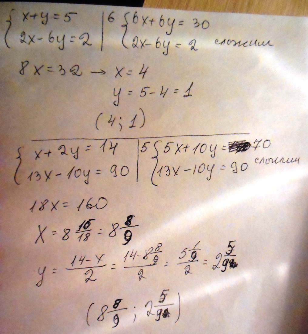
пожалуйста помогите сделать степени а,б пожалуйста
Приложения:
Ответы
Автор ответа:
0
решение в приложении, правда, немножко грязно
Приложения:
Похожие вопросы
Предмет: Українська література,
автор: vikanosadcuk
Предмет: Математика,
автор: aidansarmystacey
Предмет: Музыка,
автор: yelenakoneva2006
Предмет: Обществознание,
автор: anastasiyasenn
Предмет: Алгебра,
автор: kisslala93