Предмет: Алгебра,
автор: Mariska25
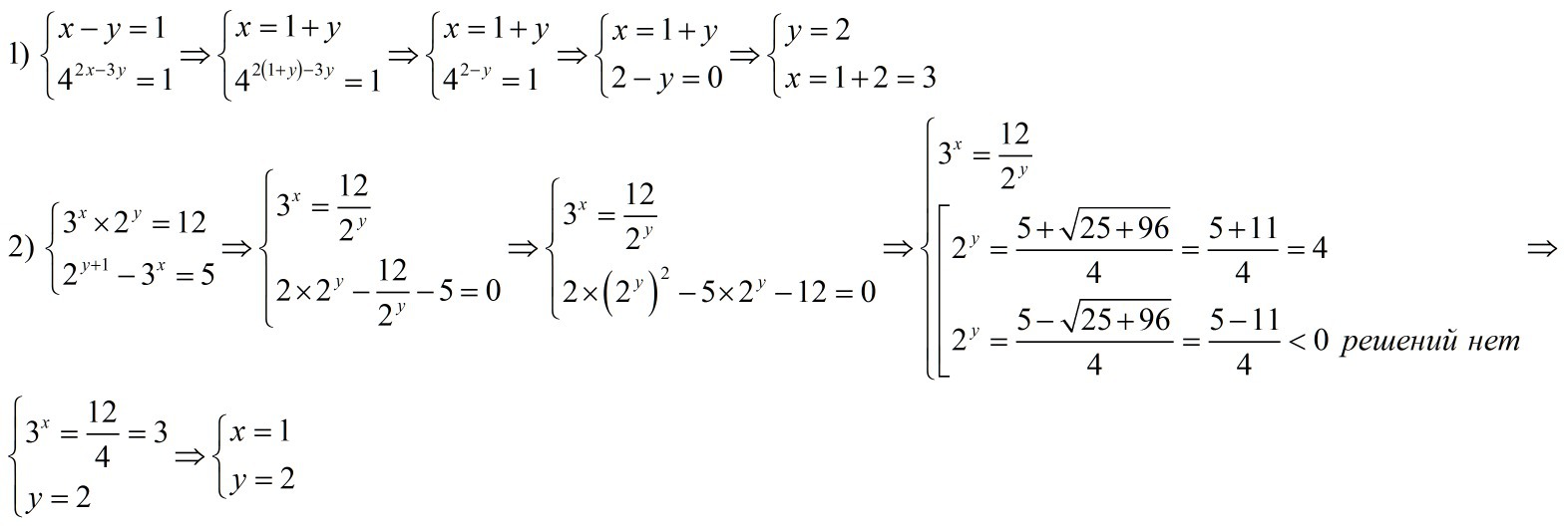
Народ, помогите решить,очень нужно
Приложения:
Ответы
Автор ответа:
0
решение смотри во вложении
Приложения:
Похожие вопросы
Предмет: История,
автор: kirillo08
Предмет: Математика,
автор: Horizon372882
Предмет: Биология,
автор: sashazavorotylo
Предмет: Биология,
автор: maks12340956
Предмет: Биология,
автор: saran4ik