Предмет: Алгебра,
автор: Anna030603
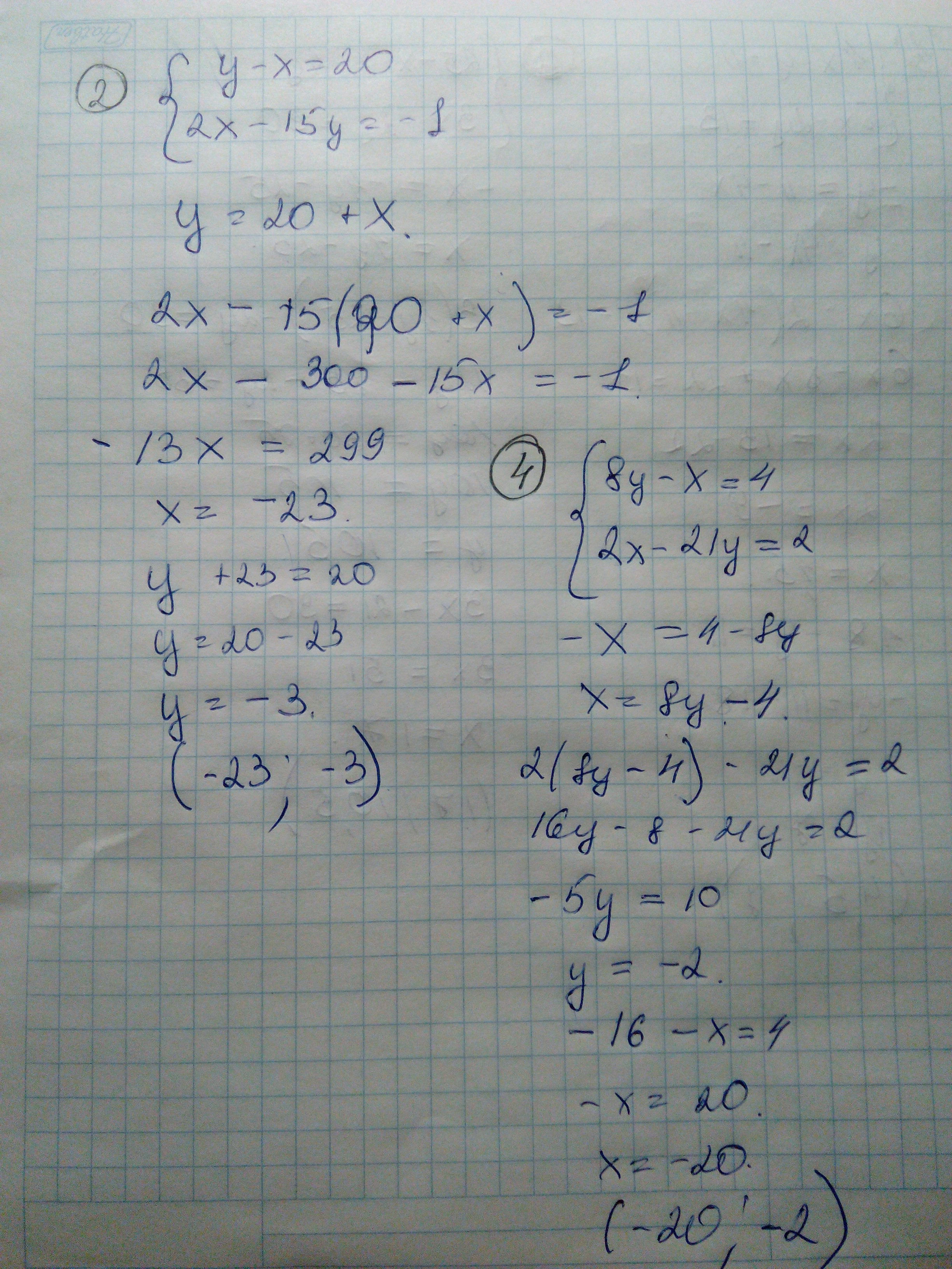
Помогите решить пожалуйста
7 класс)
Приложения:
Ответы
Автор ответа:
0
Вроде так... 5-е надо или сама?
Приложения:
Автор ответа:
0
Спасибо большое! Я поняла, 5 сама сделалю ...
Похожие вопросы
Предмет: Физика,
автор: subliminalscherry3
Предмет: Химия,
автор: dasharesnikoff
Предмет: Математика,
автор: FrostikFruktik
Предмет: Математика,
автор: jarik1973
Предмет: Математика,
автор: sashanik046