Предмет: Алгебра,
автор: sea18
сейчас подготовка для экзамен скажи ответ
Приложения:
Ответы
Автор ответа:
0
1. 0,6+5*1,3=0,6+6,5=7,1
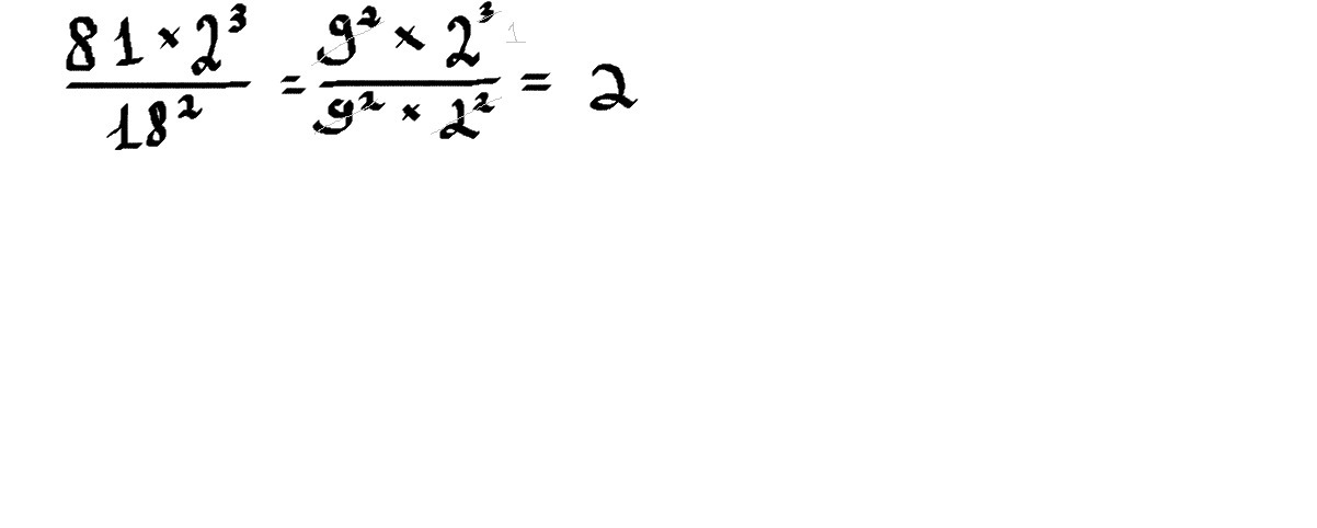
2. на фотографии (перечеркнутное и надписанное серым это сокращения)
3. Примем изначальную стоимость тетради за 100%, тогда после увеличения цены она стала стоить 115% от начальной стоимости, тогда
32*1,15=36,8 (руб) - новая стоимость тетради
4. S=2a+2b=2(a+b)
если b=17, а=2, то S=2*(17+2)=2*19=38
5. Если на 1м^2 расходуется 240г, то на 26м^2 израсходуется 240*26=6240г=6,24кг
Если приобретено 12кг, а израсходовано 6,24кг, то остаток это 12-6,24=5,76кг
6.
+6x+5=0
(x+3)^2-4=0
(x+3-2)*(x+3+2)=0
(x+1)(x+5)=0
x=-1 или x=-5 (писать совокупностью)
меньший корень уравнения x=-1
2. на фотографии (перечеркнутное и надписанное серым это сокращения)
3. Примем изначальную стоимость тетради за 100%, тогда после увеличения цены она стала стоить 115% от начальной стоимости, тогда
32*1,15=36,8 (руб) - новая стоимость тетради
4. S=2a+2b=2(a+b)
если b=17, а=2, то S=2*(17+2)=2*19=38
5. Если на 1м^2 расходуется 240г, то на 26м^2 израсходуется 240*26=6240г=6,24кг
Если приобретено 12кг, а израсходовано 6,24кг, то остаток это 12-6,24=5,76кг
6.
(x+3)^2-4=0
(x+3-2)*(x+3+2)=0
(x+1)(x+5)=0
x=-1 или x=-5 (писать совокупностью)
меньший корень уравнения x=-1
Приложения:
Автор ответа:
0
3 ошибка и ответ 33,6 руб
Автор ответа:
0
да, я посчитала как 115%, а не 105%, извиняюсь
Похожие вопросы
Предмет: Химия,
автор: baskatanovaarisha007
Предмет: Математика,
автор: victory199668
Предмет: Литература,
автор: anankoanastasia01
Предмет: Алгебра,
автор: Gorynych98
Предмет: География,
автор: анна42