Предмет: Алгебра,
автор: Hauptmann
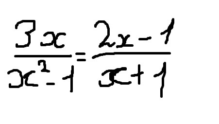
3x/x^2-1=2x-1/x+1 Решите Дробное Рациональное Уравнение пожалуйста, даю 18 баллов. Очень Срочно!
Приложения:
Ответы
Автор ответа:
0
3х/х^2-1=(2х-1)(х-1)/х^2-1
3х=2х^2-2х-х+1
3х=2х^2-3х+1
2х^2-3х+1-3х=0
2х^2-6х+1=0
Дальше ищешь дискриминант/корни, и всёё..
Если не знаешь как, напиши, решиим!
3х=2х^2-2х-х+1
3х=2х^2-3х+1
2х^2-3х+1-3х=0
2х^2-6х+1=0
Дальше ищешь дискриминант/корни, и всёё..
Если не знаешь как, напиши, решиим!
Автор ответа:
0
Ну чего там, дальше там а=2 б=-6 с=1, так я понимаю?
Автор ответа:
0
именно)
Похожие вопросы
Предмет: Английский язык,
автор: Аноним
Предмет: География,
автор: lillero
Предмет: Алгебра,
автор: Lov3445
Предмет: Литература,
автор: margad0208
Предмет: Биология,
автор: Kate010