Предмет: Математика,
автор: Elenabeo
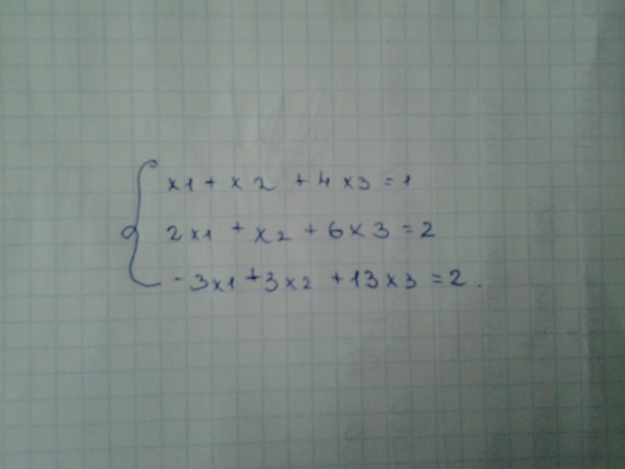
пожалуйста ребят, помогите решить уравнение методом Кремера))) буду очень благодарна)))
Приложения:
Ответы
Автор ответа:
0
Вот, только Крамер, а не Кремер
Приложения:
Похожие вопросы
Предмет: Русский язык,
автор: beimenbetovagulzia57
Предмет: Обществознание,
автор: kartoshka00000
Предмет: Алгебра,
автор: vladapitytina
Предмет: Информатика,
автор: a13051010