Предмет: Алгебра,
автор: oZIGAL
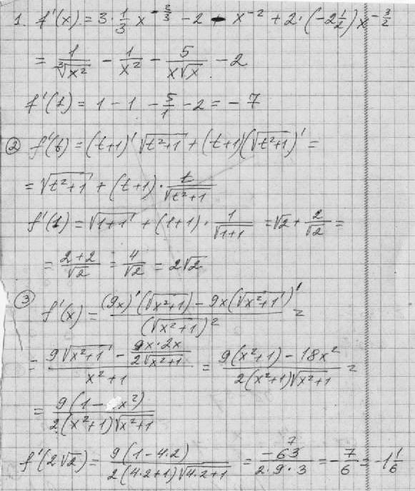
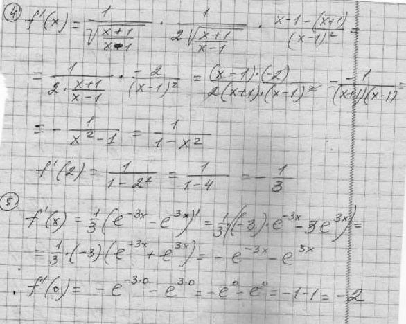
Найти производную функции
Желательно с пояснением
Приложения:
Ответы
Автор ответа:
0
Надеюсь всё правильно! Ух и непросто же было!!!
Приложения:
Похожие вопросы
Предмет: Английский язык,
автор: sofi28062001
Предмет: Физика,
автор: lizasvatenko
Предмет: История,
автор: Kombatria
Предмет: Математика,
автор: 87774863562lid
Предмет: Математика,
автор: Аноним