Предмет: Алгебра,
автор: 6PDS9
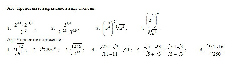
Помогите, пожалуйста
Приложения:
Ответы
Автор ответа:
0
решение в приложении
Приложения:
Похожие вопросы
Предмет: Русский язык,
автор: inna13515
Предмет: Математика,
автор: Аноним
Предмет: Русский язык,
автор: dimasolodnikov
Предмет: Математика,
автор: Аноним
Предмет: Химия,
автор: TomFerraz