Предмет: Алгебра,
автор: мпвп
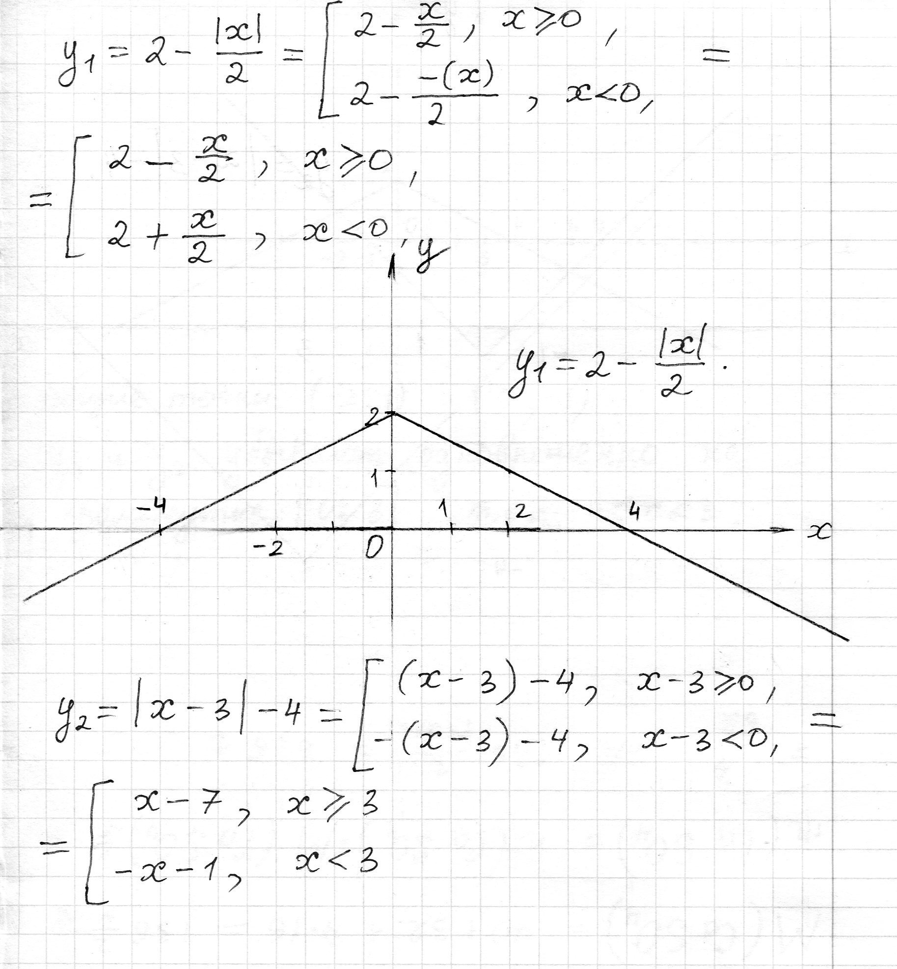
Помогите решить 1.26 и 1.29 номер , 20 баллов
Приложения:
Ответы
Автор ответа:
0
Решения на листочках, прикрепил ниже ==>>
Приложения:
Автор ответа:
0
Спасибо большое!)
Похожие вопросы
Предмет: Английский язык,
автор: vlavrovik
Предмет: История,
автор: grisamajnkraft76
Предмет: Математика,
автор: serikovadilara10
Предмет: Геометрия,
автор: 4352939
Предмет: История,
автор: milkatanas86