Предмет: Алгебра,
автор: Juio456
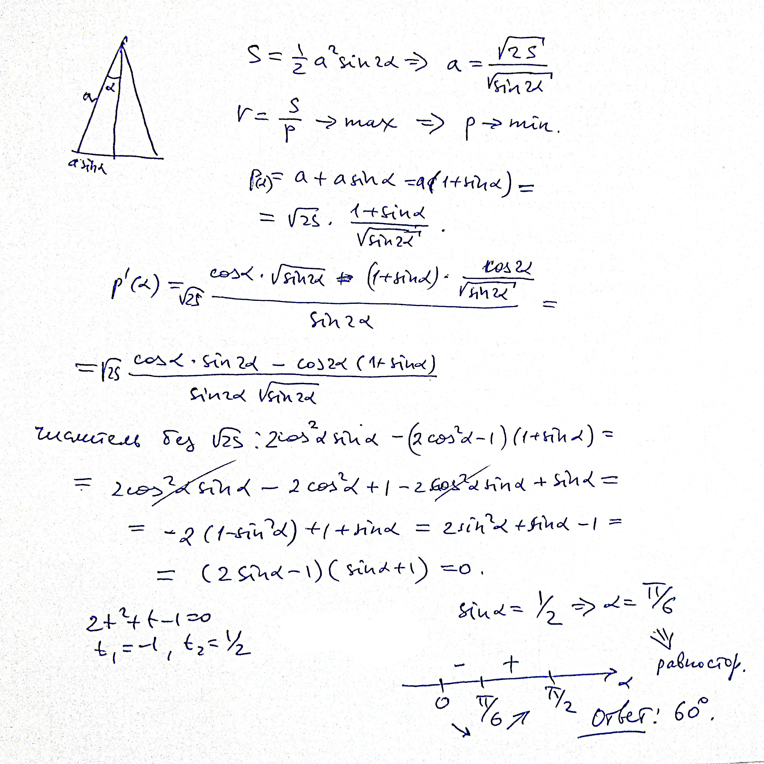
Найдите угол при вершине равнобедренного треугольника с заданной площадью, в который можно вписать окружность наибольшего радиуса. Помогите пожалуйста , с обьяснением. Там надо составить уравнение и взять производную, не пойму как.
Ответы
Автор ответа:
0
Решение прицеплено в картинке
Приложения:
Похожие вопросы
Предмет: Окружающий мир,
автор: gulisha2011
Предмет: Қазақ тiлi,
автор: jeffw6481
Предмет: Қазақ тiлi,
автор: jgef080
Предмет: Алгебра,
автор: dendensirbu1