Предмет: Математика,
автор: sofia224
помогите пожалуйста решить
если можно на листочке?!
Приложения:
Ответы
Автор ответа:
0
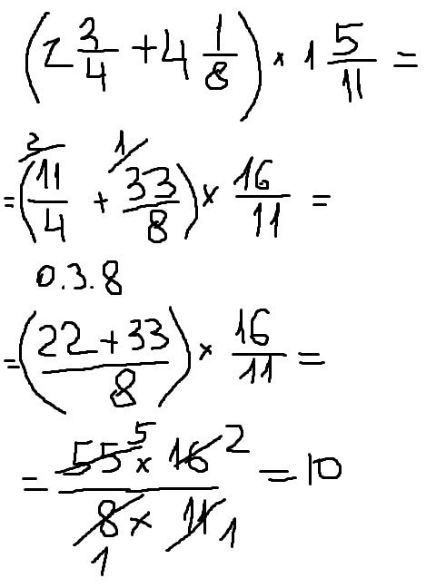
Ответ 10 понятно вот вот вот
Приложения:
Автор ответа:
0
спасибо
Автор ответа:
0
более подробно держи
Приложения:
Автор ответа:
0
спасибо огромное)))
Похожие вопросы
Предмет: Математика,
автор: antonvolynkin347
Предмет: Математика,
автор: vitalinachekurda
Предмет: Қазақ тiлi,
автор: Ayaka123
Предмет: Математика,
автор: Shelkovayal
Предмет: Право,
автор: vika199705