Предмет: Физика,
автор: sashakoba161
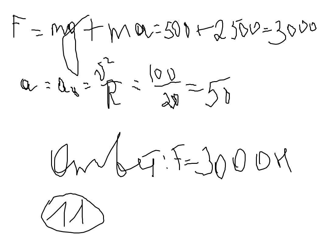
Помогите пожалуйста
Приложения:
Ответы
Автор ответа:
0
1)1,3
2)3
3)3
4)1
5)3
6)4
7)1
8) А-3
б-2
в-1
9)
2)3
3)3
4)1
5)3
6)4
7)1
8) А-3
б-2
в-1
9)
Приложения:
Автор ответа:
0
Спасибо большое
Автор ответа:
0
не за что:)
Автор ответа:
0
Могли бы вы еще сделать 3 вариант? Я еще 50 б накину
Автор ответа:
0
кидай)
Автор ответа:
0
Все кинул
Похожие вопросы
Предмет: Английский язык,
автор: 2212191
Предмет: Русский язык,
автор: gregkotsenko
Предмет: Қазақ тiлi,
автор: Аноним
Предмет: Алгебра,
автор: memekhin