Предмет: Алгебра,
автор: eva72
решите систему:
а) 5( 1.2 - 2у ) + 40 = 2(у - 2х ) - 4
б) 2(1.5 + 3х) - 30 = 5( х - 3у ) + 4
Ответы
Автор ответа:
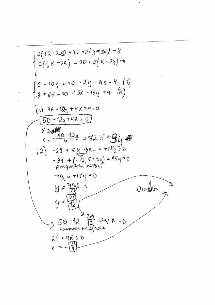
0
5(1.2-2y)+40=2(y-2x)-4
46-10y-2y+4x+4=0
50-12y+4x=0
x=-12.5+3y
2(1.5+3x)-30=5(x-3y)+4
-27+6x-5x+15y-4=0
-31+(-12.5+3y)+15y=0
-43.5+18y=0
y=43.5/18
y=29/12
50-12*(29/12)+4x=0
21+4x=0
x=-21/4
x=-5.25
Ответ: y=2 5/12; x=-5.25.
Автор ответа:
0
====================================
Приложения:
Похожие вопросы
Предмет: Математика,
автор: yevgeniykasimov03
Предмет: История,
автор: kuduretpro
Предмет: Физика,
автор: mubiali60
Предмет: География,
автор: Svetik6595