Предмет: Химия,
автор: поооол
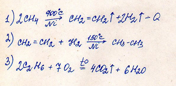
h4-c2h4-c2h6-co2
цепочка превращений
Ответы
Автор ответа:
0
Решение цепочки уравнений. Желаю удачи!
Приложения:
Похожие вопросы
Предмет: История,
автор: Аноним
Предмет: Английский язык,
автор: sergeikikot11178922
Предмет: Математика,
автор: danilbruskovskij
Предмет: Алгебра,
автор: artemstrelyov
Предмет: Обществознание,
автор: kasmari