Предмет: Алгебра,
автор: xygo2001
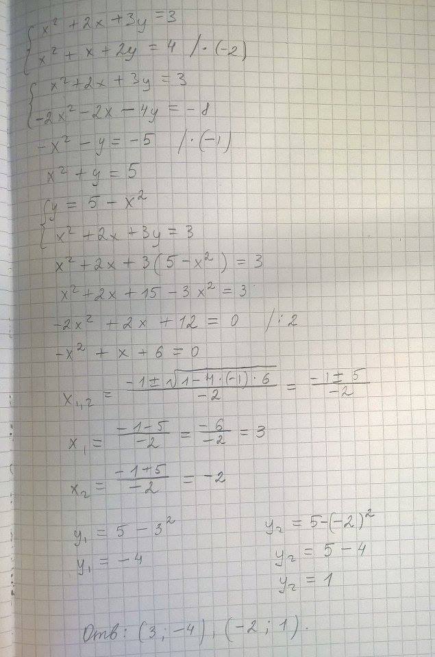
x^2+2x+3y=3
x^2+x+2y=4
Решите систему уранений
Ответы
Автор ответа:
0
Кач-во немного подводит..
Приложения:
Автор ответа:
0
Благодарю
Похожие вопросы
Предмет: Математика,
автор: cooba154573
Предмет: Другие предметы,
автор: 888elena83
Предмет: Литература,
автор: ivanovasaaskylana803
Предмет: Математика,
автор: Chugg
Предмет: Алгебра,
автор: picpic