Предмет: Алгебра,
автор: Аноним
решите пожалуйста срочно!
Приложения:
Ответы
Автор ответа:
0
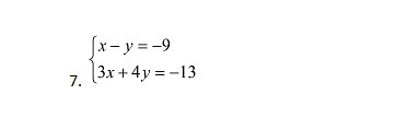
y=x+9
3x+4(x+9)= -13
7x+9= -13
7x= -21
x=3
Подставляем x
Получаем что y=12
3x+4(x+9)= -13
7x+9= -13
7x= -21
x=3
Подставляем x
Получаем что y=12
Похожие вопросы
Предмет: Алгебра,
автор: ajdjdjjd
Предмет: Английский язык,
автор: Аноним
Предмет: География,
автор: karinalee2007
Предмет: Информатика,
автор: оволвм