Предмет: Физика,
автор: Lisrise
Поезд, двигаясь под уклон, прошёл 20 с путь 340 м и развил скорость 19 м/c. С каким ускорением двигался поезд и какой была скорость в начале уклона?
Просьба написать с дано и применением формул.
Ответы
Автор ответа:
0
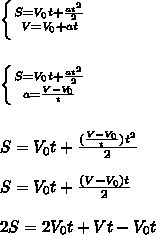
V= 19 м/с
S= 340 м
t = 20 с
Мы нашли начальную скорость, теперь найдём ускорение:
Ответ: a= 0,2 м/с² ; V₀ = 15 м/с.
Приложения:
Автор ответа:
0
Благодарю.
Похожие вопросы
Предмет: Математика,
автор: galushkinaarina19
Предмет: Математика,
автор: aruzhanbailarbek2020
Предмет: Қазақ тiлi,
автор: saginbaevamir010
Предмет: Математика,
автор: olu2635