Предмет: Алгебра,
автор: ева357
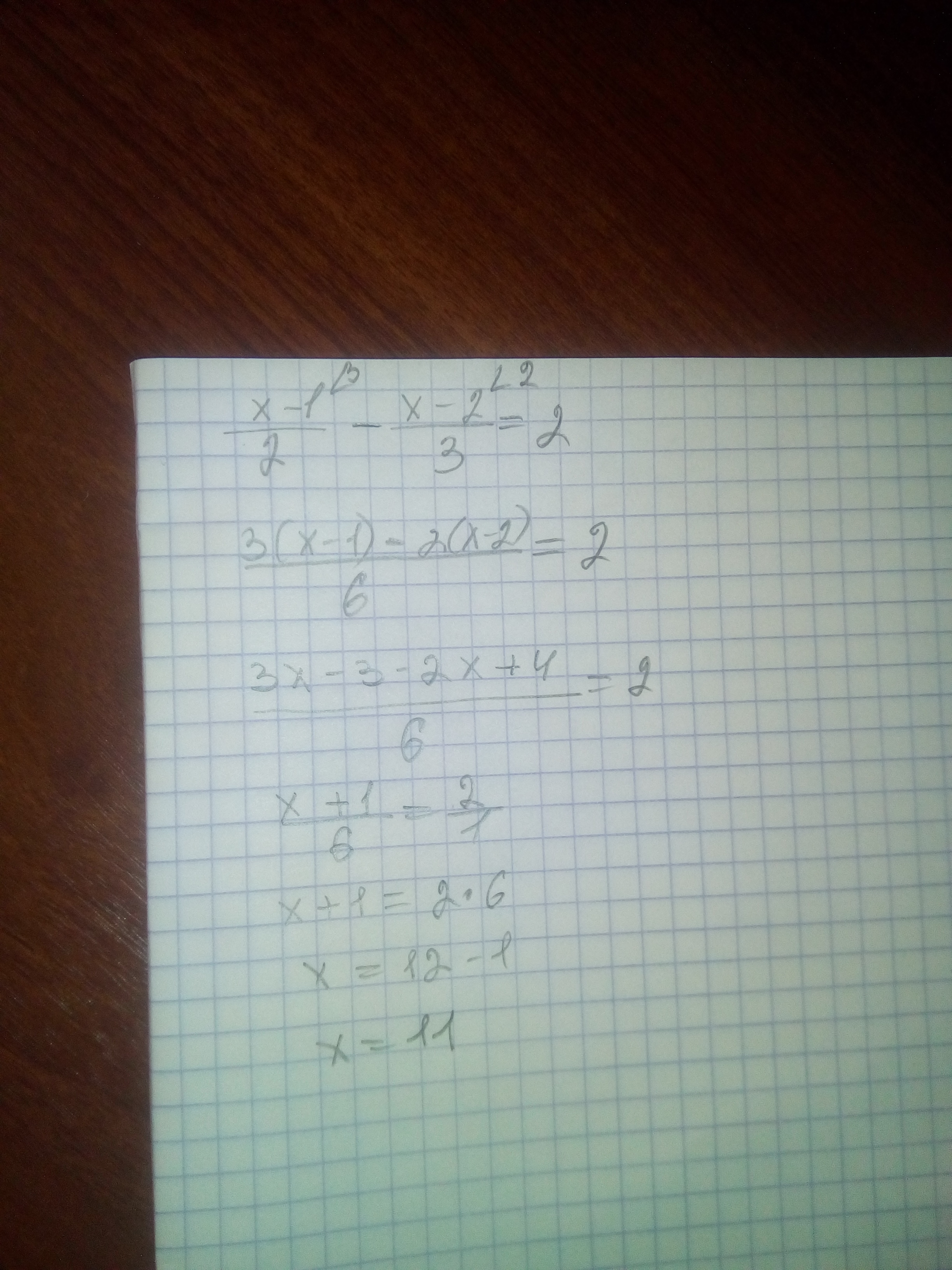
найдите корень уравнения: (x-1/2)-(x-2/3)=2
Ответы
Автор ответа:
0
должно быть правильно
Приложения:
Автор ответа:
0
Ты не мог ли помочь мне с этим http://znanija.com/task/21194332 ?
Автор ответа:
0
(x-1/2)-(x-2/3)=2
x-1/2-x+2/3=2
-3+4/6=2
1/6=2
Утверждение ложно для любого значение х
x перевернутая Э нарисуй круг и зачеркни
x-1/2-x+2/3=2
-3+4/6=2
1/6=2
Утверждение ложно для любого значение х
x перевернутая Э нарисуй круг и зачеркни
Приложения:
Автор ответа:
0
Ты не мог ли помочь мне с этим http://znanija.com/task/21194332 ?
Похожие вопросы
Предмет: Геометрия,
автор: lolopipk
Предмет: Математика,
автор: shomik230709
Предмет: Алгебра,
автор: Аноним
Предмет: Математика,
автор: dasharysava20
Предмет: Информатика,
автор: gdragon8