Предмет: Физика,
автор: cheerlena
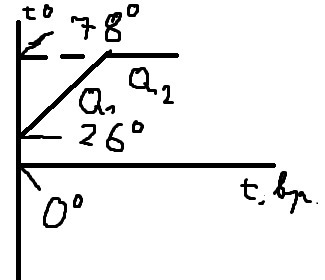
Спирт, взятый при температуре 26 С, начинают нагревать. Через некоторое время он закипает. Температура кипения спирта равна 78 С. Начертите график процесса.
Ответы
Автор ответа:
0
Я художник, я сделяль
Приложения:
Автор ответа:
0
А это сможете решить? http://znanija.com/task/21178352
Автор ответа:
0
Ща все будет
Похожие вопросы
Предмет: Литература,
автор: Аноним
Предмет: Математика,
автор: poberezhecz778
Предмет: Українська мова,
автор: udovickiji
Предмет: Физика,
автор: elenalakomkina