Предмет: Математика,
автор: VBaschmakova
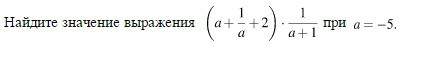
Найдите значение выражения
Приложения:
Ответы
Автор ответа:
0
(-5-0.2+2)*(-1/4) = -3.2*(-1/4) = 32/10*1/4 = 8/10 = 4/5
Автор ответа:
0
удачи!!изи решение.............
Приложения:
Автор ответа:
0
спасибо)
Автор ответа:
0
какой класс?
Автор ответа:
0
какой класс?
Похожие вопросы
Предмет: Математика,
автор: sashazvereva66
Предмет: Другие предметы,
автор: ailinoryntayeva
Предмет: Химия,
автор: oleg1421
Предмет: География,
автор: giwigiwitorililia
Предмет: Математика,
автор: arinaegorova04