Предмет: Химия,
автор: roger2299zte
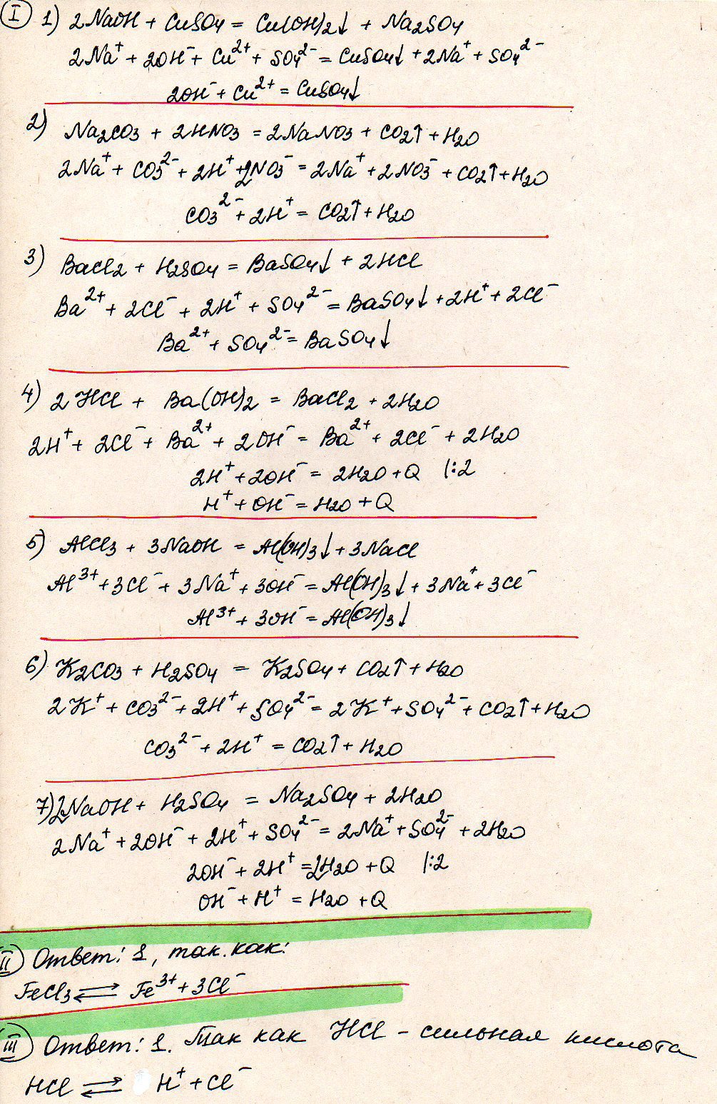
1 задание решите пожалуйста
Приложения:
Ответы
Автор ответа:
0
Решение задания. Желаю удачи!
Приложения:
Похожие вопросы
Предмет: Биология,
автор: dianasulgac002
Предмет: Окружающий мир,
автор: kaulakalnaalina245
Предмет: Информатика,
автор: marikoks
Предмет: Математика,
автор: Adele1002
Предмет: Литература,
автор: dyshnieva