Предмет: Математика,
автор: luffi
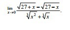
Решите, пожалуйста, подробно
Приложения:
Ответы
Автор ответа:
0
Такое, как вариант может быть..
Приложения:
Автор ответа:
0
а подробно можешь написать?
Похожие вопросы
Предмет: Английский язык,
автор: Аноним
Предмет: Математика,
автор: timoha2804200998
Предмет: Химия,
автор: dannushka4
Предмет: География,
автор: айгюльджан
Предмет: Алгебра,
автор: MenPelmen