Предмет: Алгебра,
автор: Алая2013
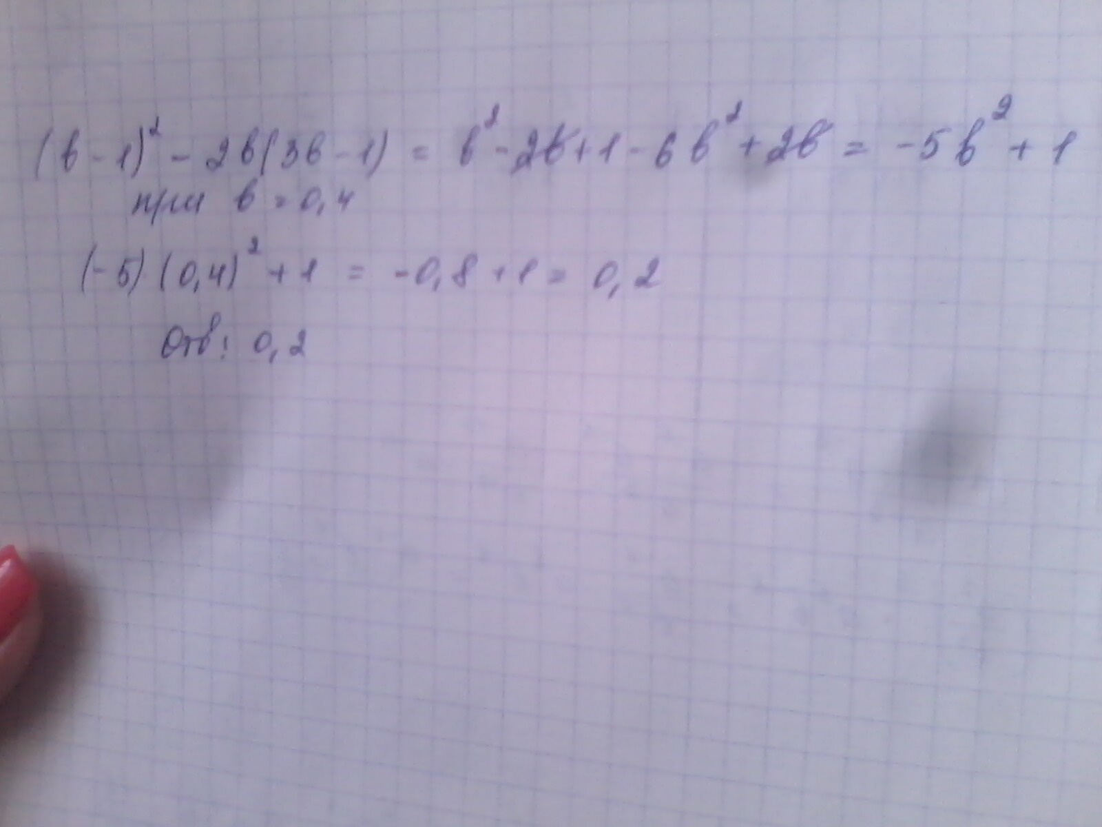
упростите выражение (b-1)^2-2b(3b-1) и найдите его значение при b= корень из 0,4
Ответы
Автор ответа:
0
решение во вложении смотри
Приложения:
Автор ответа:
0
в^2-2b*1+1^2-6b+2b=b^2+1-6b
0,4^2+1-6*0,4=0,16+1-2,4=0,16-1,4=-1,24
Это 100% правильно
Приложения:
Похожие вопросы
Предмет: Химия,
автор: nexus200543
Предмет: Українська мова,
автор: lecyscumilo
Предмет: Математика,
автор: blanschet
Предмет: Геометрия,
автор: LLLera
Предмет: Алгебра,
автор: Някабяка