Предмет: Математика,
автор: 25Anastasiya07
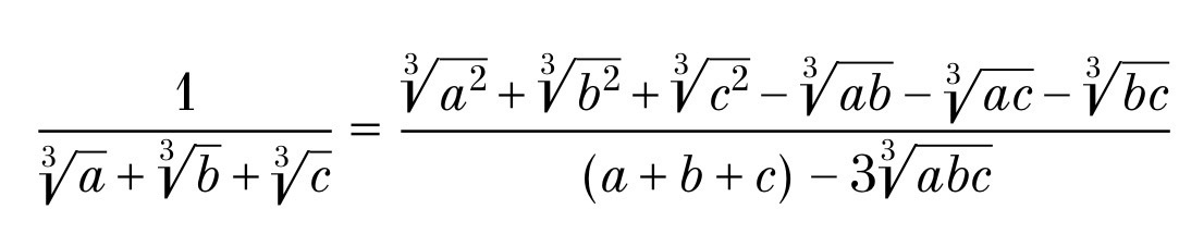
Избавьтесь от иррациональности в знаменателе 1/(∛5+∛2-1)
Ответы
Автор ответа:
0
Решение смотри в приложениях
Приложения:
Автор ответа:
0
Спасибо))
Автор ответа:
0
Это потрясающе, как вы додумались до выражения в 1 действии?
Похожие вопросы
Предмет: Геометрия,
автор: fant0mch1k
Предмет: Другие предметы,
автор: bozooglynigar
Предмет: Английский язык,
автор: tamaraputinceva1994
Предмет: Математика,
автор: kenas555
Предмет: Физика,
автор: Арсаланджаб