Предмет: Алгебра,
автор: 21288
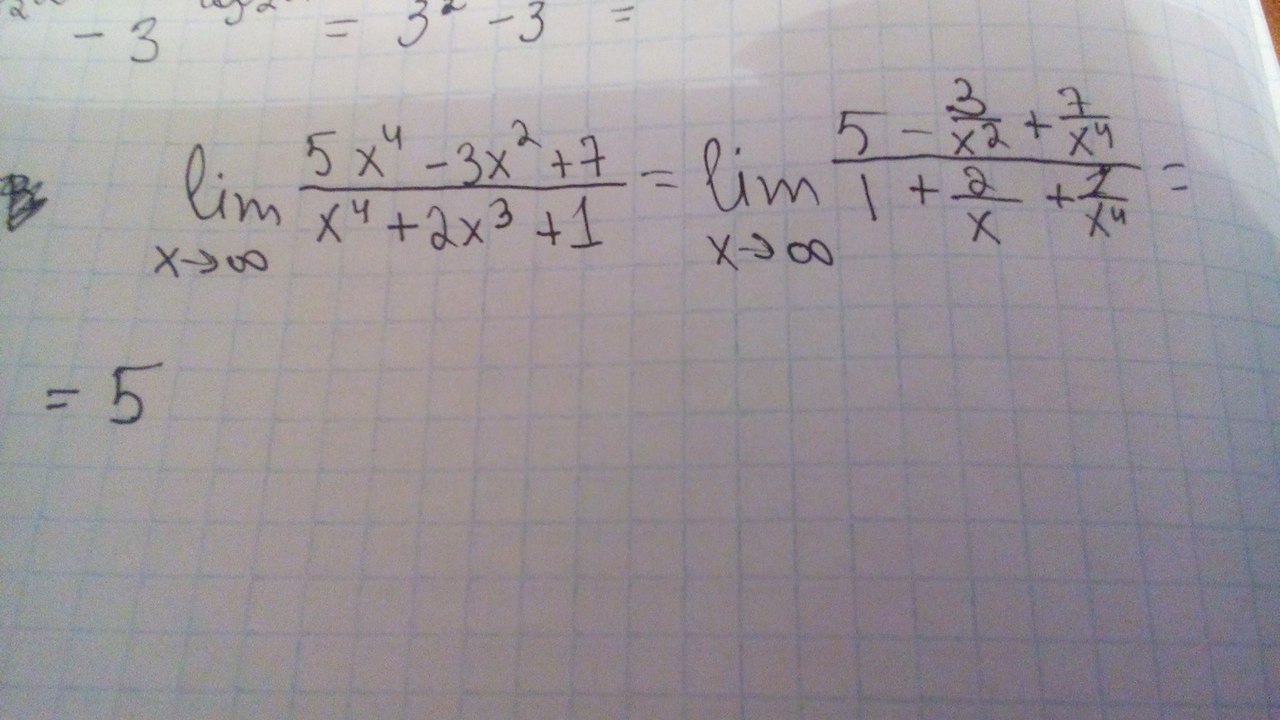
lim(5x^4-3x^2+7)/x^4+2x^3+1 при x стремится к бесконечности
Ответы
Автор ответа:
0
числитель и знаменатель поделить на x^4
Приложения:
Автор ответа:
0
//////////////////////////////
Приложения:
Похожие вопросы
Предмет: ОБЖ,
автор: MaGCergEiDrYzko
Предмет: Алгебра,
автор: 6lookiii6
Предмет: Математика,
автор: ninaavataria
Предмет: Геометрия,
автор: Steroid
Предмет: Химия,
автор: euggrinova31