Предмет: Математика,
автор: кириллцарев
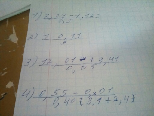
помогите пожалуйста решить примеры!
Приложения:
Ответы
Автор ответа:
0
1)2,5
2)0,09
3)308,4
4)НЕ ПОНЯТЕН ПРИМЕР,ТО ЛИ СКОБОЧКИ ЗАЧЕРКНУТЫ,ТО ЛИ УМНОЖЕНИЕ, НАПИШИ В КОММЕНТЫ
2)0,09
3)308,4
4)НЕ ПОНЯТЕН ПРИМЕР,ТО ЛИ СКОБОЧКИ ЗАЧЕРКНУТЫ,ТО ЛИ УМНОЖЕНИЕ, НАПИШИ В КОММЕНТЫ
Автор ответа:
0
я добавила еще одно фото посмотрите
Похожие вопросы
Предмет: История,
автор: vlad110751
Предмет: Математика,
автор: mtiora954
Предмет: Українська мова,
автор: uvelirkazulik
Предмет: Литература,
автор: МэриДжа