Предмет: Алгебра,
автор: viking2014
алгебра.
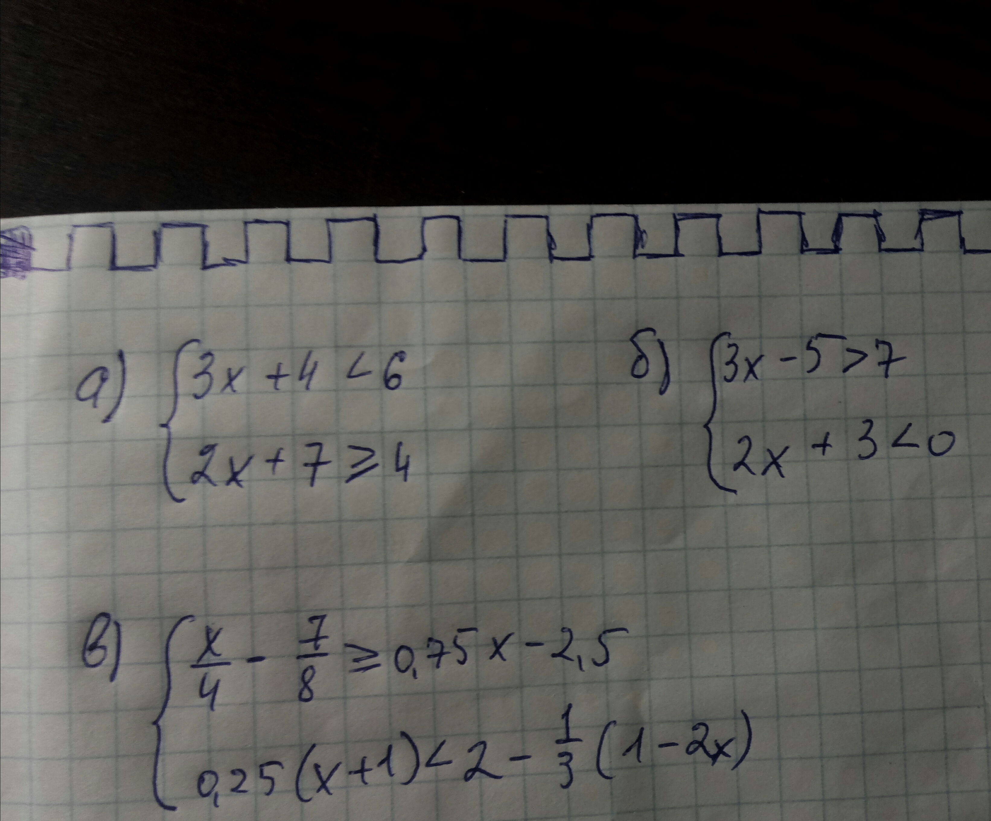
помогите пожалуйста решить систему и найти проміжок
Приложения:
Ответы
Автор ответа:
0
Не перепутай выколотые точки и закрышенные
Приложения:
Похожие вопросы
Предмет: Математика,
автор: big37808
Предмет: Алгебра,
автор: UKRAINEC121
Предмет: Литература,
автор: diasbospan
Предмет: История,
автор: erdneeva00
Предмет: Физика,
автор: keNNNNNNN