Предмет: Алгебра, автор: Кариночка78

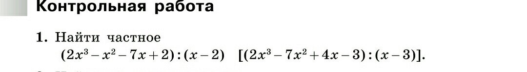
Помогите с алгеброй. Нужно найти частное.

Приложения:

Ответы

Автор ответа: ВладимирБ
0
Решение смотри в приложении
Приложения:
Автор ответа: Кариночка78
0
спасибо огромное
Автор ответа: amin07am
0
Ответ в приложении ♡♤■●○■♤
Приложения:
Автор ответа: Кариночка78
0
спасибо большое
Похожие вопросы
Предмет: Биология, автор: yevgeniya2807
Предмет: Қазақ тiлi, автор: mirasmrashan
5-класс Қазақ тілі 4-тоқсан БЖБ №1

Оқушының аты-жөні:_______________________________________________________

1-тапсырма Мәтіннен қате жазылған сөздерді табыңыз. Қате жазылған сөздерді дұрыс жазыңыз.

Аспан әлемі, яғни сансыз планеталар мен жымыңдаған жұлдыздар бір-бірімен қақтығыспай өте жіңішке есеппен, өте керемет жүйемен миллиардтаған жылдар бойы істеп тұр. Бұларды бір-бірімен қақтығыстырмай, осынша жылдар бойы іске қосып тұрған күш қандай күш? «Тартылыс» күші делік. Тартылыс күшүндегі нәзік те ғажайып тепе-теңдікті қойған тылсым күш қандай құдұрет? Егер бір планетанын тұрақты тартылыс күшү бір мезет кездейсоқтықтың әсерінен азайса немесе көбейсе, көк әлемі қалай тас-талқан боларын бір сәт ойландыңыз ба? Барлық планеталар мен жұлдұздардың үлкенді-кішілі көлемдері мен бір-бірінің ара-қашықтықтарына қа-рай өзіндік тартылыс күштері бар. Тартылыс күшіндегі бұл есеп, кездейсоқтықтың емес, арнайы бір Ұлұ құдіреттің жаратқанын меңзейді.

2-тапсырма Тірек сөздерді қолданып, ғажайып аспан әлемі туралы әңгіме құрастырыңыздар. Әңгімеге ат қойыңыз. 100-150 сөз

Тірек сөздер: аспан, жұлдыздар, ғарыш, күн, жылу, жер, глобус, жер серігі, арман, қиялда, үшінші аспанның құпиясы, капитан, ғарыш әлемінде, аспан денесіэ​
Предмет: Биология, автор: bylochkaskorichey