Предмет: Алгебра,
автор: Аноним
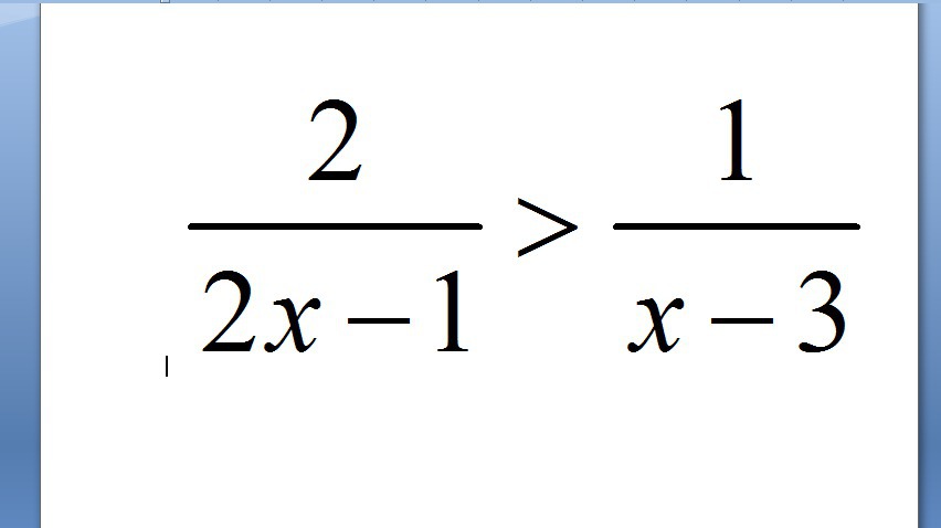
Найдите произведение всех целых решений неравенства
Приложения:
Ответы
Автор ответа:
0
решение смотри на фотографии
Приложения:
Похожие вопросы
Предмет: Математика,
автор: victoriakolibabchuk
Предмет: Алгебра,
автор: Itachi6666
Предмет: Английский язык,
автор: melovan
Предмет: Алгебра,
автор: Cheese901