Предмет: Алгебра,
автор: marusa348
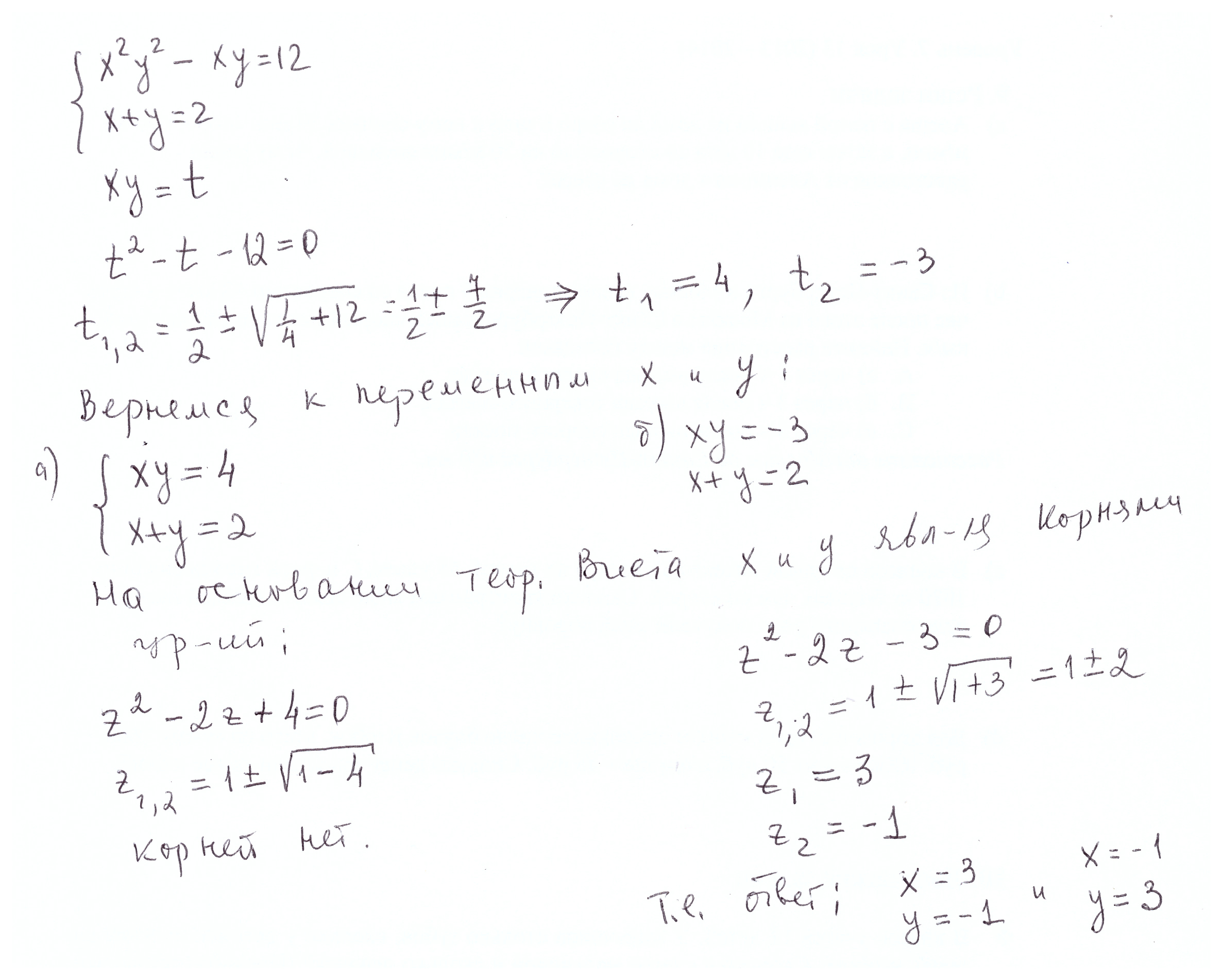
Помогите мне решить 3 и 4 пжалуйста
Приложения:
Ответы
Автор ответа:
0
Решение во вложенных файлах
Приложения:
Похожие вопросы
Предмет: Физика,
автор: kristinasavinykh2020
Предмет: Литература,
автор: dimon0accauntz
Предмет: Қазақ тiлi,
автор: rzandarbekova
Предмет: Биология,
автор: kingbarmen2001