Предмет: Алгебра,
автор: gdhdg
Помогите пожалуйста!!
Приложения:
Ответы
Автор ответа:
0
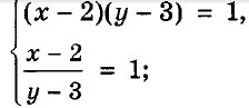
Решение смотри в приложении
Приложения:
Похожие вопросы
Предмет: Русский язык,
автор: sofasafponova
Предмет: География,
автор: ponomarenkom2007
Предмет: Математика,
автор: vahromkinaoc
Предмет: Математика,
автор: НормПоцык
Предмет: Литература,
автор: safron378993567