Предмет: Математика,
автор: plyusninaplyus1
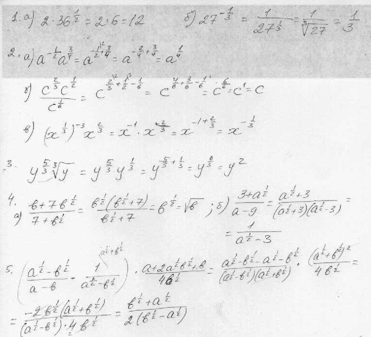
помогите решить 2 вариант
Приложения:
Ответы
Автор ответа:
0
Надеюсь всё понятно!!!!
Приложения:
Похожие вопросы
Предмет: Геометрия,
автор: diaaaanaaaaaaa
Предмет: Қазақ тiлi,
автор: professor35
Предмет: История,
автор: Аноним
Предмет: Математика,
автор: Вероника1010