Предмет: Алгебра,
автор: kdhc
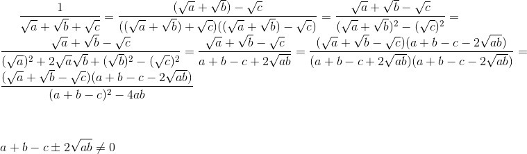
Срочно. Освободитель от иррациональности . 1/√a+√b+√c
Ответы
Автор ответа:
0
см. приложение.
Ответ:
.
Ответ:
Приложения:
Похожие вопросы
Предмет: Қазақ тiлi,
автор: toktarbaidiana03
Предмет: История,
автор: Det266683
Предмет: Английский язык,
автор: lMilkal
Предмет: Математика,
автор: footballivan03