Предмет: Алгебра,
автор: Аноним
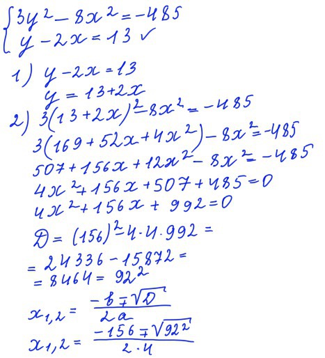
Решение систем уравнений второй степени
Приложения:
Ответы
Автор ответа:
0
Вот, выкладываю по частям, т.к. полностью будет не видно.
Приложения:
Похожие вопросы
Предмет: Математика,
автор: almira2201
Предмет: Математика,
автор: polinach16
Предмет: Литература,
автор: liliabogdanova66
Предмет: География,
автор: yablokova1975