Предмет: Алгебра,
автор: Аноним
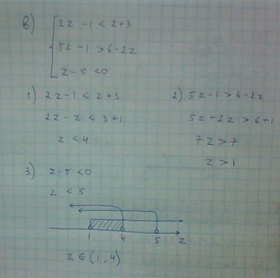
Розвязати систему нерывностей прошу сфоткайте в зошите очень нужно
Приложения:
Ответы
Автор ответа:
0
Прошу прощения за качество :0
Приложения:
Похожие вопросы
Предмет: Русский язык,
автор: aleksandrbessmertnyj
Предмет: Литература,
автор: bockarevakira27
Предмет: Английский язык,
автор: luk45593
Предмет: Математика,
автор: ВсЕзНаЮшКа