Предмет: Алгебра, автор: Masha708

иррациональное уравнение. Решите, пожалуйста, подробно. Заранее огромное спасибо.  sqrt{x^{2}+1} - sqrt{ x^{2} - 1 } = 1

Ответы

Автор ответа: нуладно
0
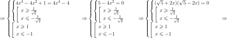
Возводим обе части уравнения в квадрат, не забывая про ОДЗ:
см. приложения.
Ответ: xin{ -frac{ sqrt{5} }{2} ;  frac{ sqrt{5} }{2} }.
Приложения:
Похожие вопросы
Предмет: Алгебра, автор: vladislavmitakov9507
Предмет: Информатика, автор: zulkharnayzhaniya