Предмет: Алгебра,
автор: OswinSue
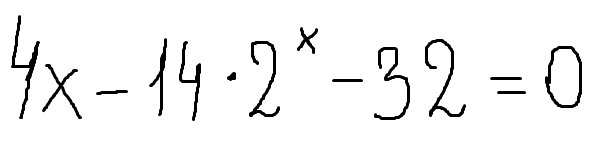
Помогите, пожалуйста, решить два примера (с подробным решением)
Приложения:
Ответы
Автор ответа:
0
Решение в приложении.
Приложения:
Похожие вопросы
Предмет: История,
автор: ecpocpakpeta
Предмет: Математика,
автор: yurix19
Предмет: История,
автор: svekrovina210220
Предмет: Математика,
автор: Андрей1234560
Предмет: Алгебра,
автор: Агнетта