Предмет: Алгебра,
автор: Аноним
у-2/3 + у/4 = -4 1/6 (Дроби)
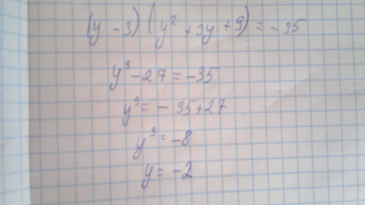
(у-3)(у в квадрате+3у+9)=-35
Ответы
Автор ответа:
0
на,перепиши...но поблагодари
Приложения:
Автор ответа:
0
4(у-2)+3у=-50
4у-8+3у=-50
7у=-50+8
7у=-42
у=-6
Похожие вопросы
Предмет: Русский язык,
автор: lushickova2017
Предмет: Русский язык,
автор: nargis0032
Предмет: Окружающий мир,
автор: 111Frisk111
Предмет: Математика,
автор: tanya12383