Предмет: Алгебра,
автор: maksimenko03
Помогите!Распишите пожалуйста.
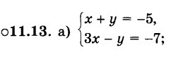
Решите графически систему уравнений:
Приложения:
Ответы
Автор ответа:
0
x+y=-5
x=-5-y
3x-y=-7
3(-5-y)-y=-7
-15-3y-y=-7
-15-4y=-7
-4y=-7+15
-4y=8
y=-2
x=-5-(-2)
x=-5+2
x=-7
x=-5-y
3x-y=-7
3(-5-y)-y=-7
-15-3y-y=-7
-15-4y=-7
-4y=-7+15
-4y=8
y=-2
x=-5-(-2)
x=-5+2
x=-7
Похожие вопросы
Предмет: Физика,
автор: mtkacuk825
Предмет: История,
автор: Dasyha
Предмет: Русский язык,
автор: Va365dim
Предмет: География,
автор: pomedor900
Предмет: Физика,
автор: Veersuta