Предмет: Алгебра, автор: arinagumenyuk

ПОМОГИТЕ СРОЧНО. ДАЮ 80 БАЛЛОВ!1!1!!
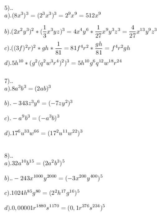
№5. запишите в виде одночлена стандартного вида:
а) (8x^3)^3
б) (2x^2y^3)^2*(1/3x^3yz)^3
в) ((3f)^2r)^2gh*1/81
г) 5h^10*(g^2(q^2w^3r^4)^2)^3

№7 Запишите в виде куба одночлена.
a) 8a^3b^3
б)-343z^3y^6
в) -a^9b^3
г) 17^6u^33w^66

№8. запишите в виде пятой степени одночлена:
a) 32a^10b^15
б) -243x^1000y^2000
в) 1024h^85g^80
г) 0?00001r^1880s^1170

Ответы

Автор ответа: Regent1828
0
displaystyle 5).. \ a).(8x^{3})^{3}=(2^{3}x^{3})^{3}=2^{9}x^{9}=512x^{9} \ \  b).(2x^{2}y^{3})^{2}*( frac{1}{3}x^{3}yz)^{3}=4x^{4}y^{6}* frac{1}{27}x^{9}y^{3}z^{3}= frac{4}{27}x^{13}y^{9}z^{3} \  \ c).((3f)^{2}r)^{2}*gh* frac{1}{81}=81f^{4}r^{2}* frac{gh}{81}=f^{4}r^{2}gh \  \ d).5h^{10}*(g^{2}(q^{2}w^{3}r^{4})^{2})^{3}=5h^{10}g^{6}q^{12}w^{18}r^{24}

displaystyle 7).. \ a).8a^{3}b^{3}=(2ab)^{3} \  \ b).-343z^{3}y^{6}=(-7zy^{2})^{3} \  \ c).-a^{9}b^{3}=(-a^{3}b)^{3} \  \ d).17^{6}u^{33}w^{66}=(17^{2}u^{11}w^{22})^{3} \  \  \ 8).. \ a).32a^{10}b^{15}=(2a^{2}b^{3})^{5} \  \ b)..-243x^{1000}y^{2000}=(-3x^{200}y^{400})^{5} \  \ c).1024h^{85}g^{80}=(2^{2}h^{17}g^{16})^{5} \  \ d).0,00001r^{1880}s^{1170}=(0,1r^{376}s^{234})^{5}
Приложения:
Похожие вопросы
Предмет: География, автор: gzshgshysys