Предмет: Математика,
автор: DartWader1
напишите решение пожалуйста)
Приложения:
Ответы
Автор ответа:
0
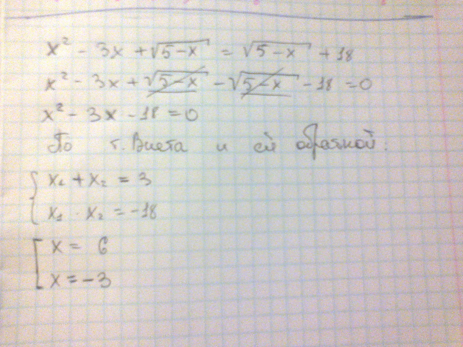
x^2 - 3x - 18 = 0
по теореме Виета x1=6 не принадлежит одз, корнем не является
x2 = -- 3 корень уравнеия
по теореме Виета x1=6 не принадлежит одз, корнем не является
x2 = -- 3 корень уравнеия
Автор ответа:
0
держи, всё решается через теорему Виета
Приложения:
Похожие вопросы
Предмет: История,
автор: assavaleria
Предмет: Математика,
автор: frogyy75
Предмет: Українська мова,
автор: Аноним
Предмет: Физика,
автор: nikalexeev
Предмет: Информатика,
автор: zhiraf23